仿气腹25孔3单端腔镜训练箱训练用单针/双针带线【出售】-->外科训练模块总目录
「训练教具器械汇总」管理员微信/QQ12087382[问题反馈]
开启左侧

腹腔镜治疗十二指肠闭锁:一位外科医生十年来的视角

[复制链接]
发表于 2 小时前 | 显示全部楼层 |阅读模式

马上注册,结交更多好友,享用更多功能,让你轻松玩转社区。

您需要 登录 才可以下载或查看,没有账号?注册

×
采用全身麻醉。患者仰卧于手术台下端,外科医生站在手术台末端。摄像助手位于外科医生右侧,洗手护士位于另一侧。主监视器放置于患者头部上方(图1)。手术通常使用3个穿刺孔。摄像孔经脐部切口置入。可使用哈桑法(Hassan technique)进行腹腔充气。插入一根5毫米套管,并使用一根短(20厘米)、5毫米、30°的腹腔镜,以获得右上腹部的良好广角视野。在患者左侧腹部中段、脐上上方置入一个3毫米穿刺孔,供外科医生右手操作;在患者右侧腹部中段与左侧穿刺孔水平位置置入另一个3毫米穿刺孔(图2)。充气压力设定为 8–10 mmHg,流速设定为 2 L/min。虽然对于平均出生体重约为 2 至 3 kg 的新生儿来说,这个范围可能相对较高,但早期试验中曾尝试过较低的压力(例如 5–7 mmHg),结果发现视野和操作空间欠佳。因此,整个系列试验均采用 8–10 mmHg 的标准设置。

图 1. 腹腔镜十二指肠闭锁修补术的团队和手术台布置。外科医生站在手术台尾部,助手在其右侧,洗手护士在其左侧,麻醉师在其头部。监视器位于患者头部上方。
1.jpg

图 2. 新生儿腹腔镜手术的穿刺孔位置。使用一个 5 毫米的脐部穿刺孔插入光学内窥镜,并在左右上腹分别放置两个 3 毫米的操作孔。根据需要,在腹壁上放置额外的牵引缝线以获得最佳视野。
2.jpg

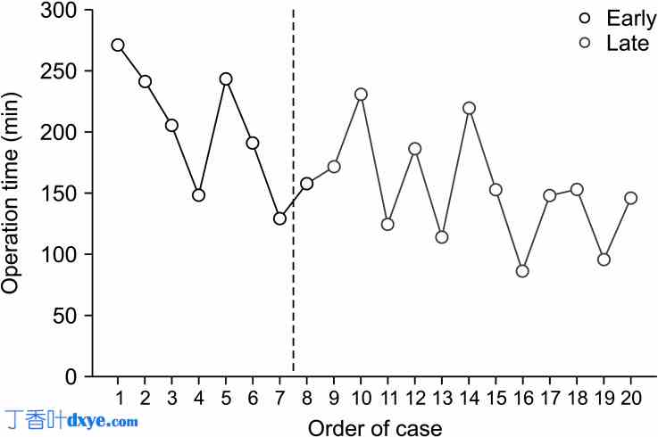
为了评估腹腔镜手术的长期趋势以及手术经验的影响,作者将 10 年的腹腔镜手术队列(2013-2024 年)分为两个时间阶段:早期(前 5 年,2013-2017 年)和晚期(最近 6 年,2018-2024 年)。早期阶段包括前 7 例腹腔镜手术,晚期阶段包括随后的 13 例。为了评估随着外科医生经验的增加而出现的改进或变化,作者比较了这两个亚组的患者特征和手术结果。此外,作者绘制了按病例顺序排列的手术时间图,以可视化学习曲线(图 3)。作者还绘制了小提琴图,比较了早期和晚期腹腔镜十二指肠闭锁修补术的手术时间(图 4)。

图 3. 连续 20 例腹腔镜十二指肠闭锁修补术的手术时间。分段折线图显示,晚期(病例 8-20)手术时间缩短,表明学习曲线的进步。
3.jpg

图 4. 使用小提琴图比较早期和晚期手术时间。晚期手术时间缩短且更加稳定,表明学习曲线的进步。
4.jpg
您需要登录后才可以回帖 登录 | 注册

本版积分规则

丁香叶与你快乐分享

微信公众号

管理员微信

服务时间:8:30-21:30

站长微信/QQ

← 微信/微信群

← QQ

Copyright © 2013-2026 丁香叶 Powered by dxye.com  手机版 
快速回复 返回列表 返回顶部